History of Mathematics
Homework Assignment 2
Prepared by:
Joseph Malkevitch
Department of Mathematics and Computer Studies
York College (CUNY)
Jamaica, New York 11451
Note the following interesting and useful identity for fractions whose numerators are 1:

1. Use the splitting algorithm and the Fibonacci/Sylvester algorithm for writing the fractions below as as Egyptian fractions (i.e. sums of unit fractions with distinct denominators).
(Apply the splitting algorithm for only parts (a) and (b). The splitting algorithm refers to using the fact that a/b can be written as the sum of 1/b (a times), and then using the identity above as needed.)
(a) 3/10
(b) 4/5
(c) 4/49
(d) 521/1050
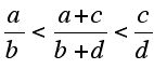
2. Verify that given a/b and c/d that (a + c )'(b + d) satisfies:
(*)
3. Write down the reduced fractions for 0/1 to 1/1 with denominator 9 and construct the "Farey fractions" associated with these (i.e. use (*) above for adjacent fractions in your list).
Example: given 2/9 and 3/9 = 1/3 one constructs (2+1)/(9 + 3) = 3/12 = 1/4.
4. Apply the "Farey process" one line at a times starting with only 0/1 and 1/1.
(Thus, after 3 steps you should have: 0/1, 1/4, 1/3, 2/5/1/2, 3/5, 2/3, 3/4, 1/1.)
Take two adjacent fractions x/y and u/v and compute xv and yu; what do you notice?