Review for Examination II (Spring, 2006)
Mathematics 225 (Discrete Mathematics)
prepared by:
Joseph Malkevitch
Mathematics Department
York College (CUNY)
Jamaica, New York 11451
email: joeyc@cunyvm.cuny.edu
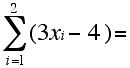
1. Compute:
a. 
b. 
c. 
2. Suppose x1 = -2, x2 = -2, x3 = 1, and x4 = 5 and y1 = 3, y2 = -2, y3 = 0, and y4 = 2.
Compute:
a. 
b. 
c. 
d. 
e. 
3. Prove using mathematical induction that for all n:

4. For each of the difference equations below determine the values of a3, and a4 assuming that a0 = -1.
a. an+1 = 5an + 2n + 5.
b. an+1 = -2an + n - 3
c. an+1 = -3an + 2(4n).
5. Solve the recursions below assuming that a0 = -3:
a. an+1 = -3an
b. an = 4an-1
6. Solve the recursion below assuming a0 = +2, a1 = -1
an+2 = -4an+1 - 3an
7. Determine if the following are tautologies. If not (if possible) give one set of truth for which the logical expression is true.
a. 
b. 
c. 
d. 
8. Compute:
a. 3!
b. 5!
c. 6P3
d. 17C3
e. 76C73
9. An ice cream parlor offers sundaes with 5 types of syrup, 3 toppings, and 24 flavors of ice cream. How many different kinds of sundaes can be made?
10. a. How many binary sequences of length 7 are possible?
b. How many binary sequences of length 7 are there that begin and end with 0?
c. How many binary sequences of length 7 are there have ones in odd numbered positions?
d. How many binary sequences of length 7 are there that begin with two ones?
11. Give an example of a proposition which is:
a. True
b. False
c. Truth status is not known.
12. The psychology club of a college has 10 members, 7 men.
a. How many ways are there to elect a president, a vice-president, and a treasurer for the club?
b. How many ways are there to elect a president, a vice-president, and a treasurer for the club if the president must be a girl?
c. How many ways are there to elect a president, a vice-president, and a treasurer for the club, if the vice-president and treasurer must be boys?
d. How many ways can a committee of 4 be chosen to interview the President of their college?
e. How many ways can a committee of 4 which has exactly 2 women be chosen?
f. How many ways can a committee of 4 be chosen if Mary must be on the committee?
g. How many ways can a committee of 5 be chosen in Mary and John must be on the committee?
h. How many ways are there to choose a committee of 5 if there can be at most one woman on the committee?
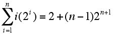
13. If the following result is true, prove it using mathematical induction:

14. Suppose g(x) = 2x - 3, and h (x ) = 2x
a. Find g (h(2)) and h(g(2).
b. Fine h(g(3)) and g(h(3))
c. Find h(g(-1)) and g(h(-1)).
15. a. Write down the relation associated with the digraph below:

b. Write down the matrix associated with the digraph above.
16. If x = { 1, 2, 3 } and Y = { 1, -1 } and Z = { 2, -3, -1 }
a. Write down the cartesian product of X and Y.
b. Write down the cartesian product of Y and X
c. Write down the cartesian product of Z and Y
d. Write down the cartesian product of X and Z.
17. How many different nonsense words can be made with the letters of the word:
a. Teeth
b. steal
c. steel
d. starter
18. 
19. Given f(x) = -x3; g(x) = -3x + 12
i. Evaluate:
a. f(0), f(-2), f(1/2), g(0), g(-2), g(1/2)
b. f(3x); g(x + h)
c. fog(2), gof(-2)
ii. Find: The inverse of f(x)
iii. Find: The inverse of g(x)